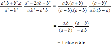
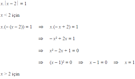
You are here: Home 2011 Kpss Lisans Matematik çözümleri2011 Kpss Lisans Matematik çözümleri2011 Kpss Lisans Matematik çözümleri[AdsWithin]31 32 333435 36 37 38 39 40 41 42 43 44 45 46 47 48 49 50 51 52 53 54 55 56 57 58 59 60Bir yanıt yazın Yanıtı iptal etE-posta adresiniz yayınlanmayacak. Gerekli alanlar * ile işaretlenmişlerdirYorum *Ad * E-posta * İnternet sitesi Daha sonraki yorumlarımda kullanılması için adım, e-posta adresim ve site adresim bu tarayıcıya kaydedilsin. ΔBu site istenmeyenleri azaltmak için Akismet kullanır. Yorum verilerinizin nasıl işlendiğini öğrenin.