Kpss Çözümlü Matematik deneme pdf indir
kpss matematik tek çift sayıları soru

kpss matematik dört işlem soru

kpss ardışık sayılar soru

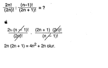
kpss matematik faktöriyel soru

matematik ppzitif bölenler soru

kpss matematik dogal sayilar toplama

kpss matematik tapan aritmatigi soru


kpss matematik bolumunden kalan sorusu

kpss matemtaik bölünebilme

kpss ardışık sayılar matematik sorusu

kpss matematik tam bölenler sorusu

kpss matematik ustlu sayilar soru


kpss matematik obeb sorusu

kpss matematik okek sorusu

matematik okek obeb sorusu

kpss matematik tam sayı bölen bulma sorusu

kpss kare dikdörtgen sorusu

